The Problem

Basic Idea (Out of date)
Hệ khuyến nghị giúp thúc đẩy gắn kết giữa KH và Ngân hàng
Hành trình trải nghiệm khách hàng: ứng dụng Hook model và framework RFM.

Rule-based system


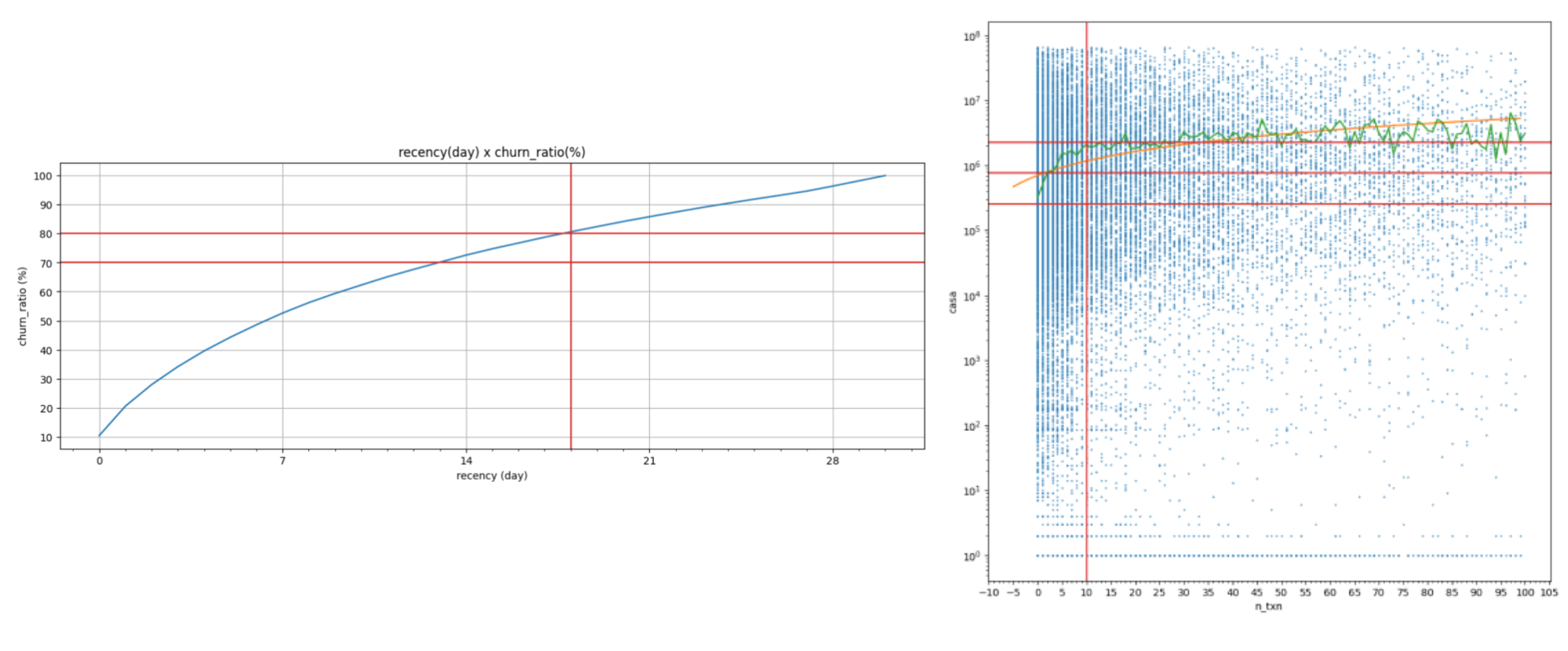
Giám sát và Điều chỉnh ngưỡng

Có độ trễ về thời gian thực hiện EDA và thực thi.
Những hạn chế và nhu cầu phát triển
- Selection bias: các định nghĩa RFM chủ quan theo business opinion, không linh hoạt và bám sát đặc tính cá thể.
- Framework chỉ khai thác 3 tham số Recency, Frequency, Money chưa tận dụng hết tiềm năng của các tham số dữ liệu khác => không phản ánh hết về chất lượng dữ liệu/mô hình
- Triển khai mô hình trên thực tế: Model deployment và monitoring, xử lý với các tham số đầu vào lớn hơn (hàng nghìn params) để insight tốt hơn.
- …
Approaches
Ý tưởng framework:
- Predictive analytics: dự báo hành vi tài chính (khả năng tiết kiệm, rủi ro thiếu hụt dòng tiền, nguy cơ overspending) từ multiple data stream về giao dịch.
- Generative AI (LLM): diễn giải tình trạng tài chính bằng ngôn ngữ dễ hiểu và sinh khuyến nghị mang tính hành động gắn với mục tiêu.
- Agentic automation: thực thi micro‑actions (ví dụ chuyển khoản tiết kiệm định kỳ, nhắc hạn mức chi tiêu) dưới kiểm soát để đảm bảo an toàn, tuân thủ và đạo đức.
Proactive Money Management: PFM Reinvented With AI
Source: Personetics – Beyond PFM
| Old-School PFM | AI-Powered Proactive Money Management |
|---|---|
| Query-based (pull) Relies on the user to pull the data they need. | Proactive Everyday Engagement (push) Proactively engages the user daily, pushing relevant and timely information. |
| Asking the Customer to Enter Data Expecting users to do work before they see the benefits, resulting in lower adoption rates | Automated Data Analysis Proactively preempts information to the user, resulting in higher engagement and usage. |
| Reporting-oriented Provides information, expecting the user to figure out what it means and what to do about it. | Actionable and Automated Offers actionable recommendations and automated money management that take away the guesswork. |
| Planning and Budgeting Expects the user to engage in planning and budgeting, with no immediate sense of accomplishment. | Goals and Challenges Helps users act on an immediate goal that is within their reach - like spending less on restaurants so they can save for a vacation - setting them up for success rather than failure. |
| Time-lapsed Transaction and Balance Data Paints a picture based on a time-lapsed snapshot that doesn’t always include recent transactions. | Bite-sized and Personalized With relevant and bite-sized insight and advice, individuals can take actions tailored to their own personal financial situation. |
| Static Static presentation cannot adjust to individual needs. | Real-time Data and Forward-looking Balances Real-time data provides an accurate picture of current and future cash flow and balances |
| Average-based Cashflow Forecast Cashflow forecasts don’t account for variability in income and spending and can lead to mistaken actions. | Pattern-based Cashflow Forecast Reliable cashflow forecasts allow users to anticipate issues and opportunities and take early action. |
| Separate App Requires the user to use a new app, placing a barrier to adoption and use. | Embedded in Digital Banking Experience Enhances a familiar experience and increases engagement with the bank app. |